水资源是国民经济发展的重要资源之一。水资源短缺将是21世纪全球面临的共同问题。随着我国经济的迅速发展,水资源消耗和水质污染状况日益严重,影响和限制了国民经济的可持续发展。因此,开展废水的综合治理,提高水资源的利用率,具有重大的社会意义。加大氧化铝行业废水的治理,对降低耗水指标、改善水资源的有效开发利用、保护环境具有重要意义。
氧化铝,三氧化二铝,俗称“铝氧、矾土”,是一种白色无定形的粉状物,是一种难溶于水的白色固体,具有无味、无臭、质极硬,易吸潮但不潮解等性质,几乎不溶于非极性有机溶剂及不溶于水,能溶于无机酸以及碱性溶液,熔点约2000℃。
氧化铝的生产是将铝土矿作为原料经过一系列的化学处理,除去铁、硅、钛等杂质而制得,我国氧化铝厂生产的Al2O3含量一般在99%以上。
氧化铝的生产一般采用拜耳法、烧结法、混联法等。氧化铝生产工艺复杂、流程长、设备多,生产过程中产生大量的碱性含油废水。氧化铝废水主要来自车间地坪冲洗水、设备清洗用水;沉降槽溢流水、洗涤槽溢流水;各设备的冷却水;物料的冷却洗涤水;设备和管道的“跑、冒、滴、漏”;发电站的软水装置产生的酸性废水;冷却循环水排污;生活污水、雨排水等。
氧化铝行业废水具有总排水量大、水质不稳定的特点。温度一般在60℃以下。主要污染因子为悬浮物(5000mg/l以下);碱(PH值达8~13)。
氧化铝污水的性质决定了它的处理工艺,一般采用化学法较多。
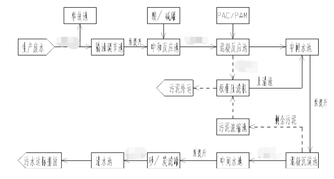
由于氧化铝废水水量波动大,因此废水首先进入隔油调节池,在调节水量、匀和水质的同时,还能起到去除废水中油污的的作用,从而在一定程度上降低后续处理负荷。
污水自调节池进入中和反应池,根据进水pH值,池中加入NAOH或HCl,将pH值调节至8~9。
污水自中和池进入混凝反应池,池中加入混凝剂、絮凝剂且设有气体搅拌装置,使其中的重金属沉淀。
混凝反应池中的污水全部进入板框压滤机脱水后,上清液进入中间水池。中间水池的污水由泵提升至混凝沉淀池进行混凝反应,污泥排入污泥浓缩池进行浓缩,以减少污泥体积,浓缩后的污泥也进入压滤机进行脱水。压滤机脱水产生的污泥属于危废,需由有资质的处理危废的部门进行外运处理。
混凝沉淀池出水进入2#中间水池,然后用加压泵将废水提升进入砂滤罐、碳滤罐进行过滤,进一步去除废水中悬浮物、色度、浊度等。
过滤罐出水进入清水池中,短暂停留之后即可达标排放。



黔公网安备52011502002075号